离心分离技术

离心技术的基本概念
利用溶液中颗粒密度、大小等特性,用旋转产生的离心力使不同特性颗粒在溶液中分离并沉降,从而达到分离、浓缩、 提纯的目的,称为离心技术。
离心分离三要素:沉降系数、相对离心力、离心时间
沉降系数(s)
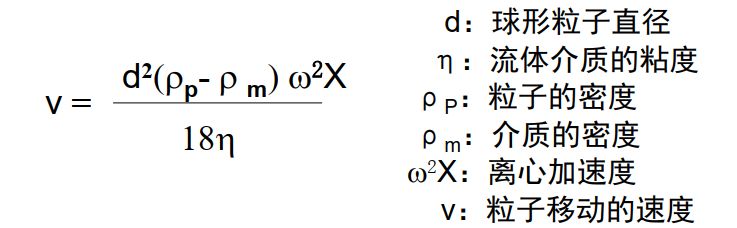
颗粒在单位离心力作用下的移动速度 s =1× 10^-13^ 秒

悬浮液中的颗粒在离心力场中的沉降速率的影响因素:
- 颗粒直径
- 溶液介质密度
- 颗粒密度
- 溶液介质粘度
沉降系数越大在离心时候沉降越快
相对离心力(RCF)
作用在悬浮颗粒上的离心力常用相对离心力(RCF)或数字×g表示,即离心力同地球重力相比较后得到的值。
RCF(× g)=F离心力/F重力=1.12r(RPM/1000)^2
# r:旋转中心轴至转头内离心管某一部位的半径
离心时间
颗粒经溶液表层到管底形成沉淀所需要的时间 t=K/s
K: 表示转头离心效力的指标, 与转速平方成反比。 s:沉降系数
离心机公司提供最高转速时的K值。
K值越小越好,效力越高。
离心机
略
离心的基本方法
差速离心法 differential centrifugation
原理:通过一系列递增速度的离心,依次将大小不同的颗粒进行分离
用途:分离大小相差悬殊的细胞和细胞成分

特点:
- 使用单一密度介质
- 转速由低到高进行多次离心,适用于大小差别较大的颗粒
- 分离纯度不高,需要确定离心力和离心时间
密度梯度离心法 density gradient centrifugation
离心介质有密度梯度

理想的离心介质
- 形成的溶液密度跨度大
- 粘度低
- 对细胞损伤小
- 离心分离后容易去除
自配:蔗糖溶液
商品化:Ficoll, Percoll, Accudenz (Nycodenz)
移动区带离心法 moving-zone centrifugation
原理:制备梯度介质,将要分离的样品放在介质表面,形成一个薄的样品层, 然后超速离心,使不同沉降系数的颗粒以不同的速度向管底方向移动,形成一系列区带。建立密度梯度的目的是防止扩散 。

主要应用于分离有一定沉降系数差异的颗粒
特点:
- 密度梯度介质且密度较低,介质的最大密度应小于被分离生物颗粒的最小密度ρ~p~>ρ~m~
- 控制离心时间不使移动最快的颗粒沉到管底
等密度梯度离心法 isodensity centrifugation
原理:利用覆盖样品中各种颗粒密度的梯度介质,被分离颗粒移动到达密度与其相同的介质时(ρp=ρm)便不再移动,形成一系列分布区带,然后从管底收集不同组分。
应用:用于分离病毒、DNA、RNA、蛋白质等有密度差异的颗粒
特点:
- 密度较高的介质,介质的最高密度应大于被分离组分的最大密度 ρ~p~<ρ~m~
- 所需的力场通常比速率沉降法大10~100倍,往往需要高速或超速离心。
细胞结构成分的离心分离方法
略
© 版权声明
文章版权归作者所有,转载请注明来源。
THE END














暂无评论内容